E-413.2 - E-413.6 Mehrkanal-Piezoverstärker
Für Piezorohre und PICA Shear Scheraktoren
- Rauscharmer Piezoverstärker
- Spitzenleistung bis 50 W
- Bipolarer Betrieb
- Ausgangsspannung -250 bis 250 V
- Optimal angepasst für Scannerrohre
- Monitor der Ausgangsspannung
Piezorohr ("Scannerrohr") ansteuern
Der Verstärker E-413 kann je nach Ausführung ein Piezorohr in zwei oder drei Bewegungsrichtungen ansteuern. Die möglichen Bewegungsrichtungen eines Piezorohrs hängen von der Anzahl seiner Elektroden-Segmente ab.
Bis zu sechs Piezoaktoren ansteuern
Der Verstärker ist auch erhältlich als Ausführung zum Ansteuern von bis zu sechs einzelnen Piezoaktoren mit bipolarer Betriebsspannung wie PICA Shear oder Picoactuator®.
Spannungsbereich und Steuersignal
Rauscharm und präzise im statischen und dynamischen Betrieb. Spitzenströme bis zu 100 mA pro Kanal bei -250 bis +250 V. Steuerung der Ausgangsspannung über analoges Eingangssignal -10 bis +10 V mit Verstärkungsfaktor 25. Erzeugung des Steuersignals möglich per PC über D/A-Wandler und PI-Treibersatz zur Verwendung mit NI LabVIEW-Software.
Schnittstellen
Steuersignale, Monitorsignale: SMB. Spannungsausgänge: D-Sub 15 (w)
Lieferumfang
Auslieferung inkl. Weitbereichsnetzteil 24 V.
Spezifikationen
Spezifikationen
Verstärker | E-413.30 / .20 | E-413.61 / .41 |
|---|---|---|
Eingangsspannungsbereich | -10 bis 10 V | -10 bis 10 V |
Ausgangsspannung | -250 bis 250 V invertierter Ausgang: 250 bis -250 V | -250 bis 250 V |
Monitor der Ausgangsspannung | -2,5 bis 2,5 V invertierter Ausgang: 2,5 bis -2,5 V | -2,5 bis 2,5 V |
Spitzenausgangsleistung/Ausgang (<1 ms) | 50 W | 50 W |
Dauerausgangsleistung/Ausgang | >10 W | >10 W |
Spitzenstrom/Ausgang (<1 ms) | 100 mA | 100 mA |
Dauerausgangsstrom/Ausgang | >20 mA | >20 mA |
Strombegrenzung | Kurzschlussfest | Kurzschlussfest |
Spannungsverstärkung | 25 ±0,1 invertierter Ausgang: -25 ±0,1 | 25 ±0,1 |
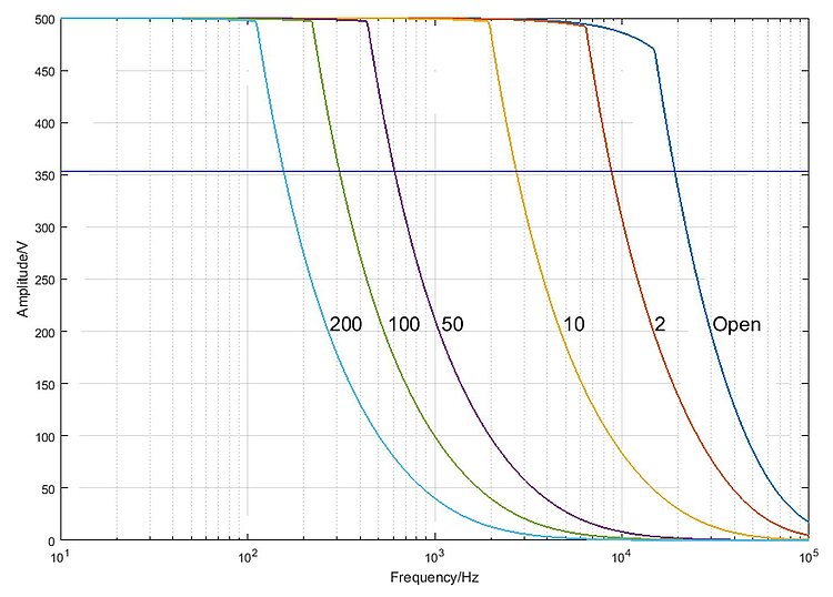
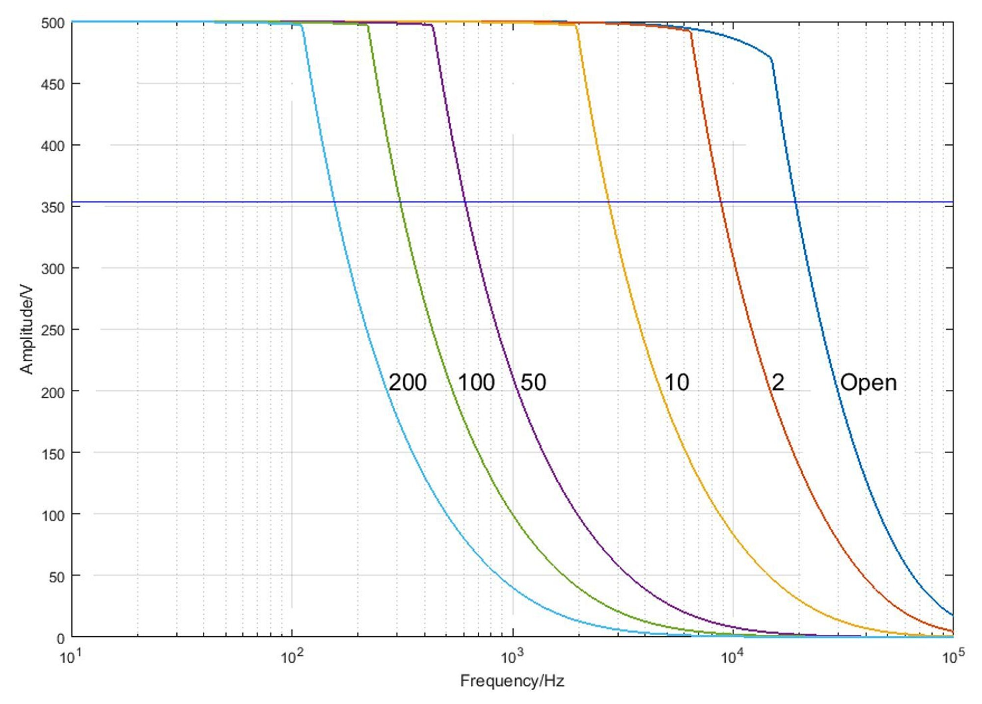
Bandbreite, Kleinsignal | ≥20 kHz | ≥20 kHz |
Welligkeit, Rauschen, 0 bis 10 kHz | <1 mVrms 5 mVpp <200 µVrms bei <10 kHz Bandbreite, 100 nF Aktorlast am Ausgang | <1 mVrms 5 mVpp <200 µVrms bei <10 kHz Bandbreite, 100 nF Aktorlast am Ausgang |
Grundlast (intern) | 2 nF | 2 nF |
Sinnvolle externe Aktorkapazität | >2 nF | >2 nF |
Ausgangsimpedanz | 1 kΩ, 2 nF | 1 kΩ, 2 nF |
Eingangsimpedanz | 100 kΩ | 100 kΩ |
Downloads
Datenblatt
Dokumentation
Benutzerhandbuch PZ296
E-413.30, .20, .61, .41 Piezoverstärker
Angebot / Bestellung
Fordern Sie ein unverbindliches Angebot über gewünschte Stückzahlen, Preise und Lieferzeiten an oder beschreiben Sie Ihre gewünschte Modifikation.
Zubehör
Angebot anfordern
Fragen Sie den Fachmann!
Erhalten Sie innerhalb kürzester Zeit per E-Mail oder Telefon eine Rückmeldung zu Ihren Fragen von einem PI Vertriebsingenieur.










